Игровая Механика. Как это работает. Перевод Фанатского Мануала

Осторожно! В посте содержится очень много тескта. ОЧЕНЬ МНОГО!!! Так что я вас предупредил. Для того, чтобы ваш бедный мозг не перегрелся, я разбил статью на спойлеры лишь для удобства. Приятного чтения.

Игровая механика

Герой

Всего в шестых героях 6 основных характеристик: Физическая и Магическая Сила, Физическая и Магическая Защита, Фортуна и Лидерство. Для каждого типа героя эти характеристики имеют различные начальные значения.

Начальные Характеристики

Герой

Физическая Сила

Физическая Защита

Магическая Сила

Магическая Защита

Лидерство

Фортуна

Рыцари, Сила

1

3

1

1

2

1

Рыцари, Магия

0

2

2

2

2

1

Инферно, Сила

3

2

1

1

0

2

Инферно, Магия

2

1

2

2

0

2

Некрополис, Сила

2

3

2

1

0

1

Некрополис, Магия

1

2

3

2

0

1

Святилище, Сила

2

2

1

2

1

1

Святилище, Магия

1

1

2

3

1

1

Крепость, Сила

4

2

0

1

1

1

Крепость, Магия

3

1

1

1

1

1

Начальные характеристики в режиме Дуэль.

Здесь показаны начальные характеристики героя 30 уровня, созданного в режиме Дуэль.

Возможно, что данные являются непроверенными, а потому неверными, но давайте лучше оставим это на совести составителей мануала.

Герой

Физическая Сила

Физическая Защита

Магическая Сила

Магическая Защита

Лидерство

Фортуна

Рыцари, Сила

15

21

8

7

11

5

Рыцари, Магия

5

11

18

17

11

5

Инферно, Сила

20

17

9

7

4

10

Инферно, Магия

10

7

19

17

4

10

Некрополис, Сила

19

22

10

9

0

7

Некрополис, Магия

8

11

21

20

0

7

Святилище, Сила

18

18

8

9

7

7

Святилище, Магия

8

8

18

19

7

7

Крепость, Сила

21

17

7

8

8

6

Крепость, Магия

10

8

17

18

8

6

Уровни.

30 уровень является высшим в игре. Каждый уровень Герой получает 1 очко умения, которое может быть потрачено, чтобы изучить какое-нибудь доступное умение и 2 очка основных характеристик, которые будут автоматически распределены между начальными характеристиками Героя. Шанс выпадения определенных атрибутов зависит от типа Героя.

Здесь показаны две различные таблицы: одна для Кампании и другая для одиночной/мультиплеерной игры. Кроме того игрок может сам выбрать скорость роста уровней Героя в настройках карты: Нормально(1х), Быстро(1,5х), Очень Быстро(2х):

Уровень

Нормально (1x)

Кампания

Уровень

Нормально (1x)

Кампания

1

0

0

16

77 000

695 000

2

1 500

2 000

17

88 000

785 000

3

3 000

4 750

18

100 000

875 000

4

5 000

10 000

19

113 000

965 000

5

7 500

20 000

20

127 000

1 055 000

6

10 500

37 500

21

142 000

1 145 000

7

14 000

65 000

22

158 000

1 235 000

8

18 000

105 000

23

175 000

1 330 000

9

22 750

157 500

24

193 000

1 425 000

10

28 250

220 000

25

212 000

1 520 000

11

34 500

290 000

26

232 000

1 520 000

12

41 500

365 000

27

254 000

1 710 000

13

49 250

445 000

28

279 000

1 805 000

14

57 750

525 000

29

308 000

1 900 000

15

67 000

610 000

30

342 000

2 000 000

Эффективность Умений.

Одна из особенностей шестых Героев – общая система расчета эффективности умений во время игры. «Эффективность» подразумевает под собой урон, мощь усилений/проклятий, продолжительность действия эффектов и т.д. – все зависит от отдельных умений.

Каждый параметр умений описан следующей формой:

БазоваяЭффективность(Модификаторы)

где БазоваяЭффективность является базовым значением эффективности

гдеМодификаторы являются модификаторами базовой стоимости.

Модификаторы определяют, какие характеристики Героя/отряда будут влиять на конечное значение эффективности.

Например, в описании Огненной Стрелы написано:

Швыряет в указанного противника сгусток огня, наносящий 652/750/862 (+х-ки, +уровень) урона (Огонь).

Базовое значение эффективности - 652/750/862 (зависит от уровня Репутации героя).

Модификаторы эффективности:+х-ки (зависит от Силы/Защиты), +уровень (зависит от уровня Героя)

Базовое значение эффективности.

Базовое значение эффективности можно разделить на следующие виды:

    Одиночное Значение.

    Это значение будет использовано в последних подсчетах эффективности.

    Пример.

    Магия огня I: Магическая Сила(Огонь) героя увеличивается на 3.

    Базовая эффективность всегда равна 3.

    Диапазон Значений.

    Случайное значение из этого диапазона будет использовано в конечном подсчете эффективности.

    Пример.

    Прямая Атака Героя: Наносит 300-340(+х-ки, +уровень) урона (школа урона определяется классом Героя и его фракцией).

    Базовое значение эффективности является случайное число из диапазона [300;350].

    Значения, зависящие от Репутации

    Всего есть 3 значения, они поделены с помощью слэш-символа (/).

    Первое значение будет использовано, если репутация Героя Нейтральна или противоположна данному умению Пути.

    Второе значение будет использовано, если у Героя имеется первый уровень Репутации и тип его умения аналогичен избранному Пути Героя, то есть Герой избрал Путь Слез и используемое умение также принадлежит этому пути.

    Третье значение будет использовано, если у Героя имеется второй уровень Репутации и тип используемое умения аналогичен Избранному Пути Героя.

Пример.

Ледяная Глыба: Наносит целевому отряду 326/375/431(+х-ки, +уровень) урона (Вода), и он «замораживается».

Умение Ледяная Глыба имеет Репутацию Крови.

Если Герой имеет Пути: Нейтральный, Слезы I, Слезы II; то значение будет равно 326.

Если Герой имеет Путь Крови I – 375.

Если Герой имеет Путь Крови II – 431.

    Модификаторы Эффективности

    Эффективность модификаторов приведена в скобках после базовой эффективности значения в описании умения.

    Модификаторы подразделены на:

    +кол-во – эффективность зависит от количества существ в отряде;

    +уровень – Эффективность зависит от уровня героя;

    +х-ки – эффективность зависит от показателей Силы и Защиты (Физической или Магической, зависит от умения);

    +сила (только с +х-ки) – эффективность так же зависит от соотношения макс. Здоровья отрядов.

    +сила2 (только с +х-ки) – эффективность зависит от Защиты (Физической или Магической).

Модификатор вида +кол-во.

Данная эффективность модификатора зависит от размера отряда. Может быть использовано только для умений существ.

Формула:

кол-во_мод = РазмерОтряда

где:

    РазмерОтряда – количество существ в отряде, которые используют это умение.

Модификатор вида +уровень

Этот модификатор зависит от уровня Героя. Может быть использовано только для умений Героя.

Формула:

уровень_мод = 0.101 + 0.031*(УровеньГероя − 1)

где:

    УровеньГероя – текущий уровень героя.

Т.е., модификатор приблизительно равен 10% на первом уровне. Затем модификатор растет на 3% за каждый новый уровень; и на 30м уровне он достигает 100%. Предназначение «странных» постоянных значений в формуле состоит в том, чтобы достичь точно 100% к 30 уровню Героя.

Модификатор вида +х-ки.

Этот модификатор зависит от показателей Силы и Защиты (Физической или Магической, зависит от умения). Может быть использовано как для умений Героя, так и для умений существ.

Формула модификаторов вида +х-ки состоит из двух субмодификаторов:

х-ки_мод = атака_мод*защита_мод.

где:

    атака_мод – модификатор Атаки вашего Героя;

    защита_мод – модификатор Защиты вражеского отряда и/или Героя.

После всех подсчетов значение х-ки_мод определено диапазоном [0,5; 2,0].

Т.е., если модификатор < 0,5, то он будет приравнен к 0,5; если модификатор >2,0, то он будет приравнен уже к значению 2,0.

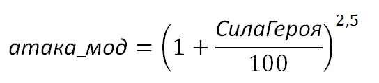
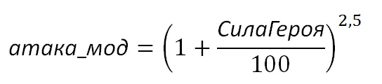
Модификатор Силы рассчитывается по формуле:

где:

    СилаГероя – значение параметра Героя Сила, с помощью которого подсчитывается эффективность. Для Физических умений используется Физическая Сила Героя, для Магических – Магическая.

    Для подсчета умений существ вашего Героя также используется его сила.

Модификатор Защиты рассчитывается по формуле:

где:

    Защита – значение Защиты вражеского Героя/отряда. Для Физических умений используется Физическая Сила Героя, для Магических – Магическая.

    Когда цель умения является вражеским отрядом, то используется итоговое значение модификатора ЗащитаОтряда (Защита Героя + базовая Защита Отряда). Если выбранная цель умения не вражеский отряд (умение используется на дружественных отрядах, призывает Элементалей, пассивно и т.д.), то значение Защиты Вражеского Героя будет использовано вместо этого. Во время битв с нейтралами, «Защита Вражеского Героя» будет равна 0.

Затем, совместив эту формулу с х-ки_мод, все будет выглядеть вот так:

Защита в игре.

Вообще в игре помимо основных есть две «секретные» характеристики: Физическая и Магическая Защита. Однако в окне отряда показывается не «Защита», а «сопротивление» («процент защиты»).

Во время подсчета Сопротивления,защита_мод подсчитывается в первую очередь. Этот модификатор основан на показателе ЗащитаОтряда = сумма очков Защиты Героя и начальной Защиты отряда. После всего, Сопротивление становится основано на защита_мод.

Формула:

Сопротивление% = (1 - защита_мод)*100%

где:

    ЗащитаЮнита – начальная защита юнита (Физическая или Магическая);

    Защита Героя– Защита Героя (Физическая или Магическая).

Базовые значения Физической или Магической Защит существ перечислены в Общей Таблице Существ (ОТС находится в мануале, который вы сможете скачать в конце статьи).

Модификатор типа +сила.

Это субмодификатор для модификатора вида +х-ки: когда он используется, эффективность также зависит от отношения здоровья отрядов. Может быть использовано только с модификаторами вида +х-кии только для умений существ.

Если есть модификатор вида +сила, тогда формула подсчета +х-ки:

х-ки_мод = атака_мод*защита_мод*сила_мод

где:

атака_мод, защита_мод – модификаторы, которые зависят от показателей Силы и Защиты (детальное описание в абзаце о подсчете модификатора вида +х-ки);

сила_мод – отнош

ение от общего числа значений HP отрядов.

где:

HPОтряда – общее значение здоровья отряда, который использует это умение;

HPВражескогоОтряда – общее значение здоровья целевого вражеского отряда.

Значениех-ки_мод ограничено диапазоном [0,5;2,0]

Модификатор вида +сила2.

Это субмодификатор для модификатора вида +х-ки: когда он используется, то эффективность целиком зависит от Защиты. Может быть использовано только с модификатором вида +х-ки и только для умений существ.

Если модификатор вида +сила2 есть, тогда формула подсчета модификатора вида +х-ки:

х-ки_мод = защита_мод

где:

защита_мод – модификатор Защиты вражеского отряда (более подробная информация в абзаце, описывающем подсчет модификатора типа +х-ки)

После всех подсчетов, значение х-ки_мод становится определено диапазоном [0,5;2,0].

Формула подсчета эффективности

Формула:

КонечнЭфф = БазЭфф*кол-во_мод*уровень_мод*х-ки_мод*смешан_мод1*смешан_мод2*...*смешан_модN

где:

БазЭфф – базовое значение эффективности;

кол-во_мод – модификатор, который определяется размером отряда. Используется только если +кол-во представлен в описании умения (иначе он равен 1);

уровень_мод – модификатор, который определяется с помощью уровня Героя. Он используется только в случае, если +уровень представлен в описании умения (иначе он равен 1);

х-ки_мод – модификатор, который определяет параметры Силы или Защиты. Используется только в том случае, если модификатор вида +х-ки представлен в описании умения (иначе он равен 1)

смешан_мод1, смешан_мод2, смешан_модN – разные модификаторы из умений, артефактов и т.д.

После всех вычислений КонечнЭфф округляется до ближайшего целого числа.

Все компоненты этой формулы (кроме смешан_модN) описаны в этой главе.

Упрощенный способ вычисления эффективности.

Вообще-то, игра показывает вычисленную эффективность во всплывающем окошке умения.

Если в описании действия умения нету модификатора типа +х-ки, значит это действие и есть конечная эффективность умения.

Если модификатор типа +х-ки есть в описании эффекта умения, значит, это значение и есть конечная эффективность, но без модификатора защиты вражеского Героя/отряда (т.е. защита_мод, который был описан главе вычисления модификатора типа +х-ки). И этот «несуществующий» модификатор типа защита_мод представлен в виде Сопротивления («процент защиты») в окне характеристик отряда.

Результат значения эффективности можно рассчитать по формуле:

КонечнЭфф = ПредваритЭфф*(100%-Сопротивление%)

где:

ПредваритЭфф – предварительная эффективность, показанная во всплывающем окошке умения;

Сопротивление%– Физическое или Магическое Сопротивление отряда (зависит от школы умения).

Прямой урон от атак Героя/отряда

Прямой удар Героя или отряда – это специальный тип умения. Урон от этих атак вычисляется по тем же правилам, что и эффективность других умений, но с одним важным исключением.

Прямой урон для всех Героев равен 300-340(+х-ки, +уровень).

Прямой урон отряда существ равен МинУрон-МаксУрон (+х-ки, +кол-во).

где:

МинУрон – минимальный урон существа;

МаксУрон – максимальный урон существа.

И как противоречие с правилами вычисления эффективности умения, модификатор прямого урона вида +х-ки после всех вычислений не имеет никакого ограничения в диапазоне [0,5;2,0]. Т.е., неописанный скрытый модификатор вида +х-ки здесь присутствует, что снимает ряд ограничений.

Пример Подсчета Эффективности

Условия

Герой 7 уровня с Магической силой = 6 и Репутацией «Кровь I» использует умение Молния на нейтральном отряде лучников, имеющих Магическую Защиту = 3 (значение взято из Общей Таблицы Существ).

Описание Молнии: Наносит целевому отряду847/975/1121(+х-ки, +уровень) урона (Воздух).

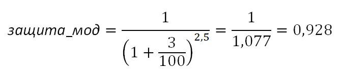
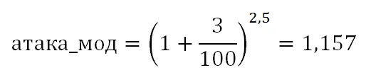
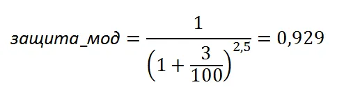
Вычисляем Эффективность.

КонечнЭфф = БазЭфф*кол-во_мод*уровень_мод*х-ки_мод*смешан_мод1*смешан_мод2*…*смешан_модN

БазЭфф=975

(Герой имеет Репутацию «Кровь I» и умение, которое он использует, тоже совпадает с его Репутацией)

num_mod=1

(умение используется Героем и поэтому Модификатор вида +num на результат не влияет)

уровень_мод = 0,101+0,031*(7-1) = 0,287

Формула:

х-ки_мод = атака_мод*защита_мод

(для умения использована школа Магии Воздух, значит будут использованы Магическая Сила и Защита)

(умение выбирает вражеский отряд, значит будет использована Магическая Защита)

х-ки_мод=1,157*0,929=1,07

(х-ки_мод находится в пределах диапазона [0,5;2,0], модификатор не будет изменен из-за ограничений)

КонечнЭфф = 975*1*0,287*1,07 = 300,64 = 301 (округлено)

Результат:

лучник получит 301 урона.

Упрощенный пример вычисления эффективности

Те же условия что и в предыдущем примере.

Это умение зависит от модификатора типа +х-ки, в окошке умения будет показан урон без защита_мод. Урон равен 324.

В описании Арбалетчика сказано, что Магическое Сопротивление равно 7%.

Дальнейший подсчет урона прост:

КонечнЭфф = ПредварЭфф*(100%−Сопротивление%)

КонечнЭфф = 324*(100%-7%) = 324%*97% = 301,32 = 301(округлено)

Более детальный пример подсчета эффективности

Условия

Отряд Игрока, состоящий из 140 Лилим использует умение Очарование на 180 Гвардейцах. Герой имеет Магическую силу = 19 и умение Изначальная Магия III (+9 к Магической Силе).

Вражеский же Герой имеет магическую Защиту = 7, Репутацию Кровь II и умение Выносливость III (+6% здоровья каждому существу Героя), которая увеличивает здоровье Гвардейцев на 36.

Описание умения Очарование: Целевой отряд противника не может перемещаться, атаковать и использовать умения в течение 0.9(+х-ки, +сила) ходов. Оцепенение развеивается, если отряду будет нанесен урон.

Вычисляем эффективность

КонечнЭфф = БазЭфф*кол-во_мод*уровень_мод*х-ки_мод

Находим компоненты этой формулы.

БазЭфф=0,9

кол-во_мод=1

(в умении нет модификатора типа +кол-во)

уровень_мод=1

(в умении нет модификатора типа +уровень)

х-ки_мод = атака_мод*защита_мод*сила_мод

(Очарование является умением Изначальной Магии, поэтому использована Магическая Сила = 19 , которая в дальнейшем будет увеличена на +9 из-за умения Изначальная Магия III)

(Защита здесь является суммой Базовой Магической Защитой Гвардейцев = 5 и Защитой вражеского Героя)

Количество Лилим = 140 и здоровье одной Лилим = 24, в то время как количество Гвардейцев = 180 и их здоровье = 36 (включая бонус от умения Выносливость III)

х-ки_мод = 1,854*0,753*0,519 = 0,724

(х-ки_мод в пределах диапазона [0,5;2,0] и он не будет изменен из-за выхода за рамки)

КонечнЭфф = 0,9*1*1 = 0,724 = 0,652 = 1(округлено)

Результат

Лилим заставят пропустить Гвардейцев 1 ход

Еще немного о модификаторе типа +х-ки и об округлении результата.

Способ, которым игра управляет ограничением множителя х-ки_мод = [0,5;2,0] и округляет его до ближайшего целого числа довольно сложный.

В качестве примера приведем эффект умения Очарование:

Базовая эффективность равна 0,9. Это означает, что действие эффекта будет продолжаться в течение диапазона:

Диапазон = БазЭфф*х-ки_мод = 0.9*[0,5; 2,0] = [0,45;1,8] = [0;2] (округлено)

Продолжительность = 0 означает, что в этом случае эффект не сработает вообще.

Очарование не сработает и в случае когда значениех-ки_мод меньше чем 0,5/0,9 = 0,56

Другой пример приведем с умением Остановка Времени (которое зависит от х-ки_мод):

Базовая эффективность равна 1,4 (для героев с нейтральной Репутацией).

Это значит, что эффект будет длиться как минимум один ход.

Прямой урон существа.

Эта статья является частью более универсальной статьи об эффективности умений. Таким образом, информация в этих двух статьях частично пересекается.

Типы Урона

Всего в игре существует 2 типа урона: Физический (Сила) и Магический. В дополнение, Магический Урон всегда принадлежит к одной из 7 школ: Огонь, Вода, Воздух, Земля, Свет, Тьма и Изначальная Магия.

Изначальная Магия имеет одну дополнительную способность – урон, который наносит магия, не может быть вылечен, и существа, которые были убиты, уже не могут быть воскрешены.

Формула общего прямого Урона

Каждый отряд имеет 3 показателя, которые влияют на вычисления урона:

Конечный Урон отряда. Он показывается рядом с иконкой существа во всплывающем окне. Урон может быть как Физическим (Сила), так и Магическим (одна из семи школ);

Физическое Сопротивление – «процент защиты», который показан рядом с «серым щитом» в окне информации отряда;

Магическое Сопротивление – «процент защиты», который показан рядом с «синим щитом» в окне информации отряда;

Формула урона проста: Конечный Урон атакующего уменьшается согласно «проценту сопротивления» защищающегося. Значение Физического Сопротивления используется против Физического Урона; Магическое Сопротивление – против Магического Урона.

Формула:

КонечнУрон = ПредварУрон*(100%−Сопротивление%)*РазнМодификаторы

где:

ПредварУрон – Предварительный Урон атакующего отряда; случайное значение из диапазона вычисляется перед ударом;

Сопротивление% – Сопротивление защищающегося отряда. Если Предварительный Урон Физический, то будет использована Физическая Защита; если Магический – значит Магическое Сопротивление.

РазнМодификаторы – различные модификаторы урона от умений существа, Геройских умений и т.д.

Итоговый Урон и оба вида Сопротивления являются вторичными характеристиками, которые вычисляются с помощью начальных характеристик Героя и Базовых характеристик отряда.

Следующие начальные характеристики Героя используются в вычислениях:

Физическая Сила / Магическая Сила.

Физическая Защита / Магическая Защита.

Следующие начальные характеристики отряда используются в вычислениях:

Базовый Физический Урон / Базовый Магический Урон. Для Магического урона всегда используется одна из определенных школ;

Базовая Физическая Защита / Базовая Магическая Защита (не в «процентах»);

Существа не имеют базовой силы («Атаки»), что отличается от предыдущих игр вселенной HMM, где они ее имели.

Итоговый подсчет Урона

Формула:

ПредварУрон = БазУронСущ*РазмерОтряд*атака_мод

где:

БазУронСущ – Базовый Урон существа в отряде (это значение показано во всплывающем окошке или в окне информации об отряде; также оно есть в Общей Таблице Существ);

РазмерОтряд – количество существ в отряде;

атака_мод

– модификатор Силы вашего Героя.

Формула:

где:

СилаГероя – значение Силы вашего Героя. Для Физического урона будет выбрана Физическая Сила Героя; для Магического урона – Магическая Сила Героя.

В следующей таблице показано, как атака_мод зависит от Силы Героя:

Сила

атака_мод

Сила

атака_мод

0

1,00

20

1,58

1

1,03

25

1,75

2

1,05

30

1,93

3

1,08

35

2,12

4

1,10

40

2,32

5

1,13

45

2,53

6

1,16

50

2,76

7

1,18

60

3,24

8

1,21

70

3,77

9

1,24

80

4,35

10

1,27

90

4,98

15

1,42

100

5,66

Базовый Урон Существа принадлежит к диапазону [Урон(Минимум); Урон (Максимум)], и из-за этого Итоговый Урон отряда рассчитывается отдельно для нижней и верхней границы этого диапазона.

Подсчет Сопротивления (%)

Сопротивление основано на 2 показателях: Защита Героя и Базовая Защита Существа. Физическая Защита используется для Физического Сопротивления, Магическая – для Магического. Обе Защиты имеют общие целочисленные значения (не в процентах). Сопротивление (%) основано на сумме двух значений.

Формула для Сопротивления:

Сопротивление% = (1 - защита_мод)*100%

где:

защита_мод – множитель полученного урона. Подсчитывается с помощью формулы:

где:

ЗащитаОтряда = ЗащитаГероя + ЗащитаСущ

где:

ЗащитаГероя – Защита Героя (Физическая или Магическая).

ЗащитаСущ – Базовая Защита существа (Физическая или Магическая).

Вообще-то, если СилаГероя и ЗащитаОтряда равны, тогда множитель урона = 1.

Таблица показывает, как Сопротивление% зависит от ЗащитыОтряда:

Защита отряда

Сопротивление%

Защита Отряда

Сопротивление%

0

0,00

20

36,61

1

2,46

25

42,76

2

4,83

30

48,10

3

7,12

35

52,78

4

9,34

40

56,88

5

11,48

45

60,50

6

13,56

50

63,71

7

15,56

60

69,12

8

17,50

70

73,46

9

19,38

80

77,00

10

21,20

90

79,90

15

29,49

100

82,32

Пример подсчета урона

Условия:

Отряд из 19 Привидений под командованием Героя с Магической Атакой = 9 атакует нейтральный отряд Громил (Базовая Магическая Защита = 3).

Общее вычисление Урона

Игра уже вычислила Предварительный Урон Привидений и Сопротивления Громил:

ПредвУрон=[71;165]

(отображено в окне описания Привидений);

ФизичСопрот = 9%

МагичСопрот = 7%

(отображено в окне описания Громил).

Формула общего урона:

КонечнУрон = ПредвУрон*(100%−Сопротивление%)*РазнМодификаторы

ПредвУрон = [71;165]

МагичСопрот = 7%

(Привидения атакуют школой Магии Тьмы, поэтому использовано Магическое Сопротивление)

РазнМодификаторы = 1

(нет воздействующих модификаторов)

КонечнУрон = [71;165]*(100% - 7%) = [65,75; 153,43] = [66;153] (округлено)

В течение Удара будет использовано случайное целочисленное значение из диапазона [66-153], которое определит весь урон.

Как игра подсчитывает Итоговый урон отряда.

Формула:

ПредвУрон = БазУронСущ*РазмерОтряда*атака_мод

БазУронСущ = [3;7]

(значение показано во всплывающем окне отряда Привидений)

РазмерОтряда=19

(Привидения нанесли Магический Урон, то есть, использована Магическая Сила Героя = 9)

ПредвУрон = [3;7] * 19 * 1,24 = [70,68;164,29]

(в игре это будет показано как [71;165] (округлено), но в действительности для вычисления Конечного Урона будут браться неокругленные значения)

Как игра подсчитывает сопротивление отряда

Формула:

Сопротивление% = (1 – защита_мод) * 100%

ЗащитаОтряда – итоговое значение защиты отряда. Формула:

ЗащитаОтряда = ЗащитаГероя + ЗащитаСущ

ЗащитаГероя = 0

(у Громил нет Героя)

ЗащитаОтряда = 3

(значение взято из Общей Таблицы Существ; Привидения наносят Магический Урон, поэтому будет использована Магическая Защита)

ЗащитаОтряда = 3 + 0 = 3

(в игре это будет отображено как 7% (округлено), но в действительности для подсчета Конечного Урона будут взяты неокругленные значения)

Оригинал: HEROES VI Fan Manual v0.93

Перевод: Grokhi


Я очень надеюсь, что данная информация помогла вам полностью разобраться в том, что такое "Эффекты" в игре и с чем их едят. Будет очень грустно, если окажется, такое количество труда было потрачено зря. И да, тем, кому статья на сайте показалось очень сложной для восприятия, могут скачать ее в формате doc.Берегите Себя!