"Не ссы ,Точи!" или Как заточить пушку до +1500

Эксперемент заточки оружия

В этом отчете эксперимента описано как работает шанс заточки оружия 2 / 3(66,66%), Вам это еще интересно? Путь энчантера для смелых). Тесты по заточки л2 были успешно проведены в нашей лаборатории.

В Lineage 2 мы пользовались лабораторией, возможно тебе придется решать различные вопросы самому, но результаты этого эксперимента были описаны до конца.

Этот эксперимент был проведен в обычных условиях. Что вы хотите знать, если у вас есть темы, в любое время,пожалуйста, оставьте комментарий на форуме лаборатории.

Содержание

1. Обзор эксперимента

* Цель эксперимента

* Правила и условия проведения эксперимента

2. Эксперимент процесс

* Эксперимент 1 - Династия Меч заточка Rush

* Эксперимент 2 - Династия Лук заточка Rush

3. Результаты эксперимента

* Эксперимент 1 - Династия Меч заточка Rush

* Эксперимент 2 - Династия Лук заточка Rush

* Этапы заточки

4. Теория Бернулли (Bernoulli)

Обзор эксперимента

Цель эксперимента

Заточка, предмет: оружия S80 класса, определить заточку максимального уровня.

Условия эксперимента

- Чтобы ускорить эксперименты заранее было заточено на +3

- Точили: Меч Династии и Лук Династии

- Количество Меч Династии и Лук Династии по 100 штук каждого.

+3 Меч Династии 100 штук

+3 Лук Династии 100 штук

EWS 1,000штук

Процесс эксперимента

В зависимости от характера, в последнее время тенденцийвыбора оружия S80 имеет большой интерес, как одна из самыхпопулярных оружий династии.

Для успешного эксперимента заранее поставили Гм-шоп

Эксперимент 1 - Династия Меч заточка Rush

1~50штук, результаты заточки

51~100штук, результаты заточки

Эксперимент 2 - Династия Лук заточка Rush

1~50штук, результаты заточки5

1~100штук, результаты заточки

Результаты эксперимента

* Этот эксперимент проведен из ста попыток, соответствующий результаты погрешности .

Эксперимент 1 - Династия Меч заточка Rush

Династи Меч +17

+10 и более на 9!!На 100 штук +3 Династи Мечей поочередной заточкой ушло 335 EWS. При "двоичном" способе было затрачено всеголиш 235 что является рекордным 70,15 процента вероятности успеха.

Также, из 100штук +3 Династи Мечей на +4 заточили 70штук что является 70%, неплохой шанс,

Эксперимент 2 - Династия Лук заточка Rush

К сожалению, тут нам не удалось получить "Красную Династи Лук"Тут результаты хуже чем я думал, заточка +10

На 100 штук +3 Династи Лук поочередной заточкой ушло 315 EWS. При "двоичном" способе было затрачено всеголиш 215 что является рекордным 68.25 процента вероятности успеха..

Также, из 100штук +3 Династи Лук на +4 заточили 76штук что является 76%,

Этапы заточки

1~50тшук пошаговая заточка на каждом этапе

51~100тшук пошаговая заточка на каждом этапе

Этапы заточки

Заточка с 1-20

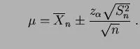
Теория Бернулли (Bernoulli)

Формула из Теории Бернулли

Вот как работает "корейский рандом".

Её подтверждает практика более 4300 попыток заточки.

Шанс успешной заточки 68.1036 %

Данные приведены с офф серверов л2