Расправа над Dark Aeons с помощью Yojimbo

1. Вступление

Цель этого FAQ – объяснить процесс выбора атаки для эона Yojimbo. Существует 2 формулы для расчета атаки. Для североамериканской, а также оригинальной японской версий – одна формула; для International и PAL версий (включая Platinum) – вторая формула. После прочтения раздела 2, тем, у кого International или PAL версия игры рекомендуется перейти к разделу 3, а тем, у кого американская или японская версия рекомендуется пропустить раздел 3 и перейти к разделу 4.

2. Важная информация

Когда вы впервые встретитесь с Yojimbo's fayth, он скажет следующее: "Summoner, I ask you. What do you want of me?"

Ответ, который вы дадите, очень важен в будущем.

"To train as a summoner." (опция 1)

"To gain the power to destroy fiends." (опция 2)

"To defeat the most powerful of enemies." (опция 3)

Будьте внимательны, так как ответ можно выбрать только один раз. Наиболее подходящий ответ – 3-й. Именно для него ниже будут приводиться соответствующие таблицы.

Вот некоторые подробности об атаках Yojimbo:

Daigoro – физический ущерб одному врагу (сила 10), возможно нанесение критического ущерба.

Kozuka - физический ущерб одному врагу (сила 13), возможно нанесение критического ущерба.

Wakizashi - физический ущерб одному врагу или всем врагам (сила 18), возможно нанесение критического ущерба.

Zanmato – мгновенная смерть всех врагов(включая боссов), невозможно нанесение критического ущерба, урон не отображается как и во всех подобных атаках. Если босс имеет несколько форм, то после этой атаки он переходит в следующую.

Некоторые термины:

Совместимость – показывает, насколько сильно вы «нравитесь» Yojimbo, лежит в пределах от 0 до 255. В меню она нигде не показана.

Совместимость определяет процент на использование Yojimbo той или иной атаки.

Как только вы получаете Yojimbo, его совместимость с вами 128. Минимальное значение – 0, максимальное – 255. Её можно изменить следующими способами:

Вид атаки Yojimbo определяют следующие условия:

а) количество денег, которое вы платите Yojimbo

б) уровень вашей совместимости с Yojimbo на данный момент

в) ваш ответ при первой встрече с ним

г) уровень сопротивления Zanmato врагов

д) Overdrive

е) любое число от 0 до 63, выбираемое случайно самой игрой

Каждый враг в FFX имеет свои уровень сопротивления Zanmato. Ниже приведён список уровней и соответствующих им врагов, включая и боссов игры.

ZANMATO LEVEL 1

Achelous

Aerouge

Ahriman

Alcyone

Anacondaur

Aqua Flan

Bandersnatch

Bashura

Basilisk

Bat Eye

Belgemine's Aeons

Bite Bug

Black Element

Blue Element

Bomb (обоих типов)

Buer

Bunyip

Cave Iguion

Chimera (обоих типов)

Chimera Brain

Coeurl

Condor

Dark Element

Dark Flan

Defender

Defender X

Defender Z

Demonolith

Dingo

Dinonix

Dual Horn (обоих типов)

Epaaj

Evil Eye (обоих типов)

Exoray

Fallen Monk (обоих типов)

Flame Flan

Floating Death

Floating Eye

Funguar

Gandarewa

Garm

Garuda (всех типов)

Gemini (обоих типов)

Ghost

Gold Element

Grat

Grenade

Grendel

Guado Guard C

Halma

Ice Flan

Iguion

Imp

Ipiria

Iron Giant

Killer Bee

Klikk

Kusariqqu

Lamashtu

Land Worm

Larvae

Left Fin

Lord Ochu

Machea

Maelspike

Mafdet

Magic Urn

Mandragora

Master Coeurl

Master Tonberry

Maze Larvae

Mech Defender

Mech Guard

Mech Gunner

Mech Hunter

Mech Leader

Mech Scouter

Melusine

Mi'ihen Fang

Mimic (всех типов)

Murussu

Mushussu

Nebiros

Nidhogg

Ochu

Octopus

Ogre

Phlegyas

Piranha

Puroboros

Ragora

Raldo

Raptor

Red Element

Remora

Right Fin

Sahagin (всех типов)

Sahagin Chief

Sand Wolf

Sand Worm

Sandragora

Shred

Simurgh

Sin's Core

Sin's Head (a.k.a. "Overdrive Sin")

Sinscale B (S.S. Liki)

Sinscale C (появляется с Euchilles)

Sinspawn Ammes

Sinspawn Genais

Skoll

Snow Flan

Snow Wolf

Spirit

Splasher

Swamp Mafdet

Thorn

Thunder Flan

Tonberry

Valaha

Varuna

Vouivre (обоих типов)

Warrior Monk (обоих типов)

Wasp

Water Flan

Wendigo

White Element

Worker

Wraith

Xiphos

YAT-97

YAT-99

Yellow Element

YKT-11

YKT-63

Yowie

Zaurus

Zuu (обоих типов)

ZANMATO LEVEL 2

Barbatos

Behemoth

Behemoth King

Cactuar

Great Malboro

Malboro

Qactuar

Sanctuary Keeper

ZANMATO LEVEL 3

Adamantoise

Anima

ZANMATO LEVEL 4

Biran Ronso

Chocobo Eater

Crawler

Evrae

Evrae Altana

Extractor

Geneaux's Tentacle

Geosgaeno

Grothia

Guado Guard A

Guado Guard B

Gui's Arm

Gui's Head

??? (Kimahri)

Lady Yunalesca

Mortibody

Mortiorchis

Negator

Oblitzerator

Omega Weapon

Pterya

Seymour

Seymour Flux

Seymour Natus

Seymour Omnis

Sin (S.S. Liki)

Sinscale A (Zanarkand)

Sinspawn Euchilles

Sinspawn Geneaux

Sinspawn Gui

Spathi

Spectral Keeper

Spherimorph

Tros

Ultima Weapon

Yenke Ronso

ZANMATO LEVEL 5

Braska's Final Aeon

Yu Pagoda

Все создания Арены монстров (Monster Arena) (включая Area Conquest, Species Conquest, and Original Creations)

ZANMATO LEVEL 6

Все Тёмные Эоны (Dark Aeons)

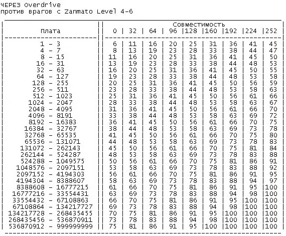
3. Таблицы вероятности нанесения атаки «Zanmato» (в %) для International/PAL версий и 3-го варианта выбора ответа при первой встрече с Yojimbo.

Как видно из таблиц, даже для врагов с уровнем сопротивления Zanmato 4-6 при вызове через Overdrive Юны и максимальной совместимости, вероятность выполнения Zanmato очень велика и при относительно небольшой плате. Так, например, прокачав совместимость с Yojimbo до максимума (что занимает гораздо меньше времени, по сравнению с прокачкой самих героев до предельных характеристик), вызвать Yojimbo через Overdrive (набрать который заранее на арене монстров не составит труда) и заплатить всего 2000 гилей, вероятность того, что Yojimbo сделает именно Zanmato аж 67%. В случае неудачи всегда можно повторить попытку или немного повысить плату, хотя лично у меня всё получалось с 1го раза.

4. Таблицы вероятности нанесения атаки «Zanmato» (в %) для North American/Original Japanese версий и 3-го варианта выбора ответа при первой встрече с Yojimbo.

Здорово, конечно, эта версия проигрывает International/PAL версиям. Однако в ней нет Тёмных Эонов, поэтому Zanmato здесь не особо важен, ибо особо сильных боссов я там не видела. Да и самого Yojimbo получаешь практически в конце игры, когда осталось уже и не так много.

Оригинальный источник: http://www.gamefaqs.com/console/ps2/file/197344/24392