Такие похожие и такие разные: BioShock Infinite и квантовая физика
Тебе нужно учиться мыслить в четырёхмерном пространстве, Марти.
«Назад в Будущее»
Время — это то, что не даёт всем событиям происходить сразу.
«Девушка в Золотом Атоме»
Всё, что существует математически, существует физически.
Макс Тегмарк
Разум субъекта будет отчаянно пытаться создать воспоминания там, где их не существует.
Р. Лютес, «Барьеры для меж-пространственных путешествий»
Я бы мог написать ещё множество цитат реальных и вымышленных людей, раскрывающих и иллюстрирующих особенности квантовой физики и сеттинга BioShock. Однако, поскольку очень многие из игроков не разбираются в квантовой физике, то лучше я начину с самых основ.
Квантовая физика на пальцах
Итак, что нам известно о физике со школы? Физика — это наука о том, что и как происходит в нашем мире. Она изучает законы, по которым взаимодействуют объекты.
Вот, скажем, летит пара объектов и сталкивается. Что произойдёт дальше? Законы сохранения (импульса, энергии, массы и так далее) говорят, что они не могут ни с того ни с сего полететь в противоположном направлении (ведь если их суммарный импульс направлен в одну сторону, то сам по себе измениться он не может). И если никакой реакции внутри объектов не будет, то неоткуда будет взяться кинетической энергии, а значит, например, скорость объектов не сможет неожиданно увеличится. А даже если объекты прореагируют и распадутся, то суммарные масса и энергия всех получившихся объектов не изменятся.
Столкновение объектов
Тем не менее, законы сохранения, хоть и накладывают ограничения на то, что может произойти при взаимодействии объектов, не говорят нам, что именно произойдёт. Для того, чтобы узнать это, нам нужно знать о внутренней структуре самих объектов. Для макроскопических (то есть привычного нам размера) предметов, состоящих из более-менее однородного вещества применяются уравнения Механики Сплошной Среды, которые говорят о том, как именно деформируется предмет при столкновении, могут ли два объекта слипнуться и так далее. Но для элементарных частиц это не годится. Ведь согласно МСС два предмета не могут, например, пройти друг сквозь друга, а на практике электроны, протоны и даже ядра атомов нередко это делают.
Итак, согласно квантовой теории поля (эта теория описывает процессы с элементарными частицами наиболее точно и полно, а кроме того, в отличие всяких теорий струн, она подтверждена экспериментально), каждая частица — это возмущение электромагнитного и других полей. Это возмущение или, говоря иначе, волна сложной конфигурации возникает в каком-то регионе пространства и распространяется. В случае, когда две волны оказываются в одном участке пространства-времени, они «интерферируют», то есть преобразуются в новую волну ещё более сложной конфигурации.
Столкновение частиц
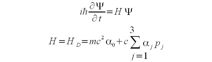
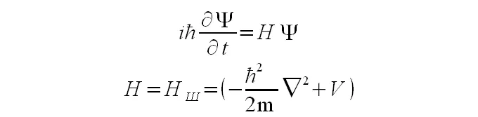
Однако, какой бы сложности не были эти самые волны, они всегда должны удовлетворять ряду разнообразных условий. Не вдаваясь в подробности, скажу что поиск уравнений, которые были бы применимы вообще к любой ситуации, ведётся до сих пор (они нужны для Теории Всего). Но вот для небольшого частного случая, когда у частиц нулевой спин, а их скорости много меньше скорости света, в 1926 году Эрвин Шредингер уравнение нашёл и опубликовал. Потом ещё несколько учёных (Кляйн, Гордон, Дирак и так далее) доработали это уравнение для частиц с полуцелым спином. Ну а там уже выяснилось, что других и нет — протоны, нейтроны и другие частицы с целым спином, как оказалось, состоят из кварков.
Уравнение Шредингера описывает поведение частицы в потенциальном поле V. Но только если её скорость много меньше скорости света, а спин её равен нулю.

Уравнение Дирака описывает поведение частиц с полуцелым спином, таких как электрон. Кстати, оно релятивистски инвариантно — то есть учитывает различные эффекты теории относительности. Поэтому его можно применять и на околосветовых скоростях.
Уравнение Кляйна-Гордона-Фока — это обобщение уравнения Шредингена, которое согласуется с теорией относительности, но без произвольного потенциального поля. Если скорость частицы пренебрежимо мала по сравнению со скоростью света, то решения уравнения будут такими же, как решения уравнения Шредингера, если V=0
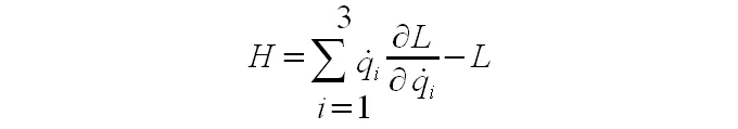
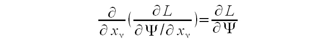
Уравнение Эйлера-Лагранжа. Описывает поведение систем частиц в самом общем случае. Нужно только подставить соответствующее значение лагранжиана L для конкретной системы частиц. Если, например, подставить лагранжиан свободного электрона, то получится уравнение Кляйна-Гордона-Фока.
Так связаны между собой лагранжиан и гамильтониан.
Я не буду объяснять, что именно обозначают различные символы в этих уравнениях. Это слишком долго, а кроме того, если хотите, то можете зайти в википедию и посмотреть сами. Главное надо понимать две вещи.
Во-первых, все эти уравнения являются следствием самых обычных законов физики (в частности уравнение Кляйна-Гордона-Фока выводится из соотношения энергии и импульсов). И поэтому все коэффициенты в них определяются физическими характеристиками частиц (массой, зарядом и так далее) для которых составлено конкретное уравнение.
Во-вторых, решением этих уравнений является функция, а не число. Это и есть волновая функция, которая определяет, какая частица где и когда находится. В случае нескольких частиц её значение в каждой точке, разумеется, является вектором, каждая компонента которого и есть местонахождение частицы в этой точке.
Тут у рядового обывателя может возникнуть вопрос — «Как же так? Ведь если график этой функциии выглядит, как синусоида или гауссова кривая (а такие решения действительно бывают в частных случаях), то в один момент значение волновой функции для одной частицы может быть равно единице в одном месте, в другом нулю, а где-то между ними 1/2 или 0.7! Уже не говоря о том, что в одной точке пространства и времени могут находиться несколько частиц, причём с разной величиной этого самого «нахождения». Неужели такое возможно?»
Да, это возможно. Более того, так как правило и бывает. Лучше всего, конечно, данную ситуацию могут понять программисты или люди, знакомые с компьютерными играми. Допустим у вас в игре есть герой и в него летит ракета. Что происходит, когда ракета попадает в героя? Я имею в виду не на экране, а внутри самой игры. Ведь ракета, как и герой — на самом деле просто координаты в пространстве уровня и наборы инструкций. В этих инструкциях говорится, что когда ракета подлетает на определённое расстояние к герою, то программа просчитывает положение героя и ракеты и смотрит, не находятся ли они в одной области игрового пространства. И если это так, то ракета взрывается, то есть происходит взаимодействие ракеты и героя. Однако заметьте, что в игре расчёты вовсе не обязательно должны совпадать с графикой. Наоборот, при расчёте попадания чаще всего берётся модель персонажа, состоящая из так называемых хит-боксов, которые в целом повторяют контуры персонажа, но более грубо. Как результат ракета, например, спокойно может пройти через плащ, но взорваться над головой героя, потому что кто-то из программистов сделал хит-бокс с запасом на высокую причёску.
На самом деле помимо хит-боксов у каждого объекта есть ещё и боунд-бокс. То есть кубическая область, заведомо ограничивающая объект со всеми его хит-боксами. Поэтому, если уж выражаться максимально точно, то областью "ненулевой волновой функции" у объекта является именно боунд-бокс. А хит-боксы - это уже области, где "значение волновой функции" (то есть вероятность взамодействия) близко к единице.
А в тактических играх, например, вместо чёткого обсчёта геометрии вообще часто используют рандом. Чем ближе ракета к боевой единице в определённый момент времени, тем выше вероятность, что она в этот самый момент в неё попадёт и взорвётся. И не важно, что на экране их будет разделять несколько метров. Для алгоритма, который будет просчитывать взаимодействие объектов, занятое техникой или воином пространство будет именно той областью, где ракета может в него попасть.
То же самое и с волновой функцией частицы. Точки пространства, где её значение не ноль — это те точки, где эта частица может провзаимодействовать с другими. И чем выше значение в конкретной точке, тем выше вероятность взаимодействия именно в ней. Разумеется ничто не мешает хит-боксам в игре пересекаться, даже наоборот — пересечение хит-боксов как раз и является триггером для алгоритмов игры, которые обсчитывают взаимодействие объектов. Точно так же в реальности появление области, где плотность волновой функции для нескольких частиц не нулевая, означает возможность взаимодействия для этих частиц.
Как видите, два объекта в игре вполне могут занимать один объём...
Однако и это ещё не всё. Согласно уравнениям, компоненты волновой функции, соответствующие разным частицам зависят друг от друга. Очевидно? Конечно, ведь вероятность появления частицы C зависит от того, какова вероятность взаимодействия частиц A и B, в результате которого она появляется. Вот только проблема в том, что дальнейшее движение частицы C тоже зависит от движения частиц A и B! То есть представьте — электрон и позитрон аннигилируют, а, образно говоря, образовавшийся в результате фотон движется так, как будто образовавшие его частицы по прежнему существуют. И вышеупомянутый обыватель снова в недоумении: «Да как же это?! Я ведь всегда вижу только один возможный вариант! Либо частица есть, либо нет!».
Над этим вопросом учёные думали долго и много спорили. Достаточно сказать, что тем самым обывателем был не кто иной, как Альберт Эйнштейн. Что поделать, не верил человек в квантовую физику и волновые функции... Но всё-таки несколько возможных объяснений было найдено.
Первое из них, которое стало называться «копенгагенской интерпретацией», основывается на введении таких понятий как наблюдатель, наблюдение и коллапс волновой функции. Ведь что значит «мы видим частицу»? Это значит, что мы запустили в область эксперимента луч света (aka пучок фотонов) и провзаимодействовав с тем, что в этой области находится, часть фотонов отразилась и попала нам в глаз. Вся эта процедура и называется «наблюдением», а мы в ней, соответственно, являемся наблюдателем. И суть «копенгагенской интерпретации» заключается в том, что когда наблюдатель производит наблюдение, он вызывает коллапс волновой функции, превращая её в набор конкретных частиц, которые находятся в конкретных состояниях. А до тех пор, пока волновая функция существует, она может быть суперпозицией любых возможных состояний системы.
Тем не менее такое определение не всем понравилось. Да, каких-то чисто математических противоречий здесь нет, но как-то странно получается, что состояние системы зависит от некоего постороннего наблюдателя. Вот была волна, а пришёл какой-то Вася и всё превратилось в частицы. Что такого особенного в этом Васе? Что он человек? А если Вася — кот? Он что, тоже вызовет коллапс? Или превратится в «кота Шредингера»?
Кот Шредингера
Пытаясь найти противоречия в теории квантовой механики Шредингер представил, что будет, если в область эксперимента поместить живого кота. Для пущей наглядности он представил, что там также есть и прибор, который уловив фотон, выпускает облако ядовитого газа. Таким образом, если электрон и позитрон аннигилировали, то кот умрёт, если нет, то останется жив. Но до тех пор, пока волновая функция содержит компоненты всех трёх частиц, то и волновая функция кота в эксперименте должна содержать оба состояния — две частицы не взаимодействовали и кот жив, две частицы аннигилировали и кот мёртв.
В общем, сначала Хью Эверетт, а затем Брайс ДеВитт (да, тот самый, в честь которого назвали Букера) предложили другую теорию, где не было никакого коллапса волновой функции, а состояние кота Шредингера не зависело от того, смотрим мы на него или нет. Эта теория получила название «много-мировой интерпретации», поскольку она предполагала, что раз коллапса нет, то все состояния волновой функции существуют, просто каждое из них — это отдельный мир.
Кот Шредингера в много-мировой интерпретации
Поясню на примере двойной вложенности. Вот есть эксперимент с элементарными частицами, в котором они могут столкнуться и прореагировать, либо нет. Далее есть кот, который либо умрёт (если частицы прореагируют), либо нет. И, наконец, вот мы — стоим рядом с ящиком и готовимся узнать — жив кот или нет.
Когда мы откроем ящик, то согласно много-мировой интерпретации мы не схлопнем волновую функцию кота, а наоборот наша волновая функция раздвоится на нас, видящих живого кота, и нас, видящих мёртвого кота!
Наука отдыхает
Итак, какое же отношение всё это имеет к [BioShock Infinite](/games?search=BioShock Infinite)? Если честно, весьма отдалённое. Да, различные состояния системы частиц можно представить, как различные миры, но всё дело в том, что эти миры — различные состояния одной и той же системы частиц. Это значит, что уже как минимум не правильно употреблять слово «перемещение» в контексте данной теории. Ведь если в одном состоянии системы частиц есть некий объект, состоящий из некоторых частиц этой системы, то появление этого объекта в другом состоянии системы (aka в другом мире) означает, что те же несколько частиц соединились в этот самый объект.
Поясню на примере Букера ДеВитта. При крещении система частиц под названием Букер ДеВитт может перейти в два состояния — З.Х.Комсток (в случае если Букер примет крещение) и Букер ДеВитт не принявший крещения (для того чтобы меньше путаться назовём это состояние Л.Пастырь). Обращаю внимание ещё раз: Пастырь и Комсток — это два состояния одной и той же системы частиц — Букера ДеВитта. С точки зрения много-мировой интерпретации каждое состояние — соответствует отдельному миру, значит Пастырь и Комсток по определению не могут существовать в рамках одного мира.
Если же вам мало чистой терминологии, то подумайте вот над чем. Допустим наш Букер ДеВитт каким-то образом всё-таки находится в двух состояниях в рамках одного мира. Но он всё равно является одним человеком, Букером ДеВиттом, а значит его масса и энергия в этом мире — это всё равно масса и энергия одного человека. Представьте, что мы одновременно поставили на весы Комстока и Пастыря — их общий вес будет как у одного человека, а значит каждый из них по отдельности должен весить в два раза меньше!
Более того, в своё время была опубликована статья на портале Edge (вот её перевод). В ней научный консультант объясняла природу некоторых эффектов в игре, сравнивая Пастыря и Комстока с нейтроном, который движется по двум траекториям в квантовом интерферометре. Правильное сравнение, вот только пытаясь доказать «научность» происходящего в игре, она умолчала об одном важном моменте. Зафиксировав (то есть попросту увидев) нейтрон, летящий по одной траектории, мы автоматически окажемся в мире (напоминаю, что мы рассуждаем в терминах много-мировой, а не копенгагенской интерпретации), где нейтрон не летит по другой траектории. И значит нейтрон, летящий по другой траектории, мы в этом мире не увидим. И если рассуждать аналогично в рамках [BioShock Infinite](/games?search=BioShock Infinite), то солдат Комстока, получивший от него приказ найти и уничтожить Ложного Пастыря, никогда этого пастыря не увидит.
На всякий случай, чтобы избежать недопонимания, объясню ещё раз более наглядно Вот атом водорода:
Внутри, в самом центре, находится ядро атома, состоящее из... впрочем не важно. Снаружи, вокруг ядра — электрон. Да, всё снаружи, закрашенное серым — это электрон. Потому что, хоть и говорится, что электрон «вращается» вокруг ядра атома, но на самом деле (о чём как раз и говорит квантовая физика) он находится одновременно во всех состояниях вокруг атома, в которых он может быть, согласно закону сохранения. НО, хотя он и находится одновременно во всех возможных состояниях, взаимодействовать с частицами, попавшими в него он может только один раз. Если в «электронное облако» попадают сразу два фотона, только один из них взаимодействует с электроном (например меняя его энергию), другой пролетает мимо. Аналогично электрон может взаимодействовать с гравитационным полем лишь одним единственным образом. Не важно, какой размер у «электронного облака» - оно может быть маленьким в атоме водорода или большим, для электронов на внешних «орбитах» более тяжёлых атомов — масса и вес электрона останутся теми же.
Все те же рассуждения годятся и для кота Шредингера. Вот кот, который находится в живом и мёртвом состояниях одновременно:
Да, кот находится в двух состояниях, НО по прежнему остаётся одним объектом. А значит взаимодействует с гравитационным полем Земли (вес) и фотонами (видимость) как один объект.
Есть, конечно, один нюанс — кот состоит из многих атомов, а значит из многих электронов и других элементарных частиц. Поэтому, если мы (мысленно) разложим кота на эти элементарные частицы, то каждая из них будет находиться в двух состояниях (в живом коте и в мёртвом), а взаимодействовать только в одном из них. И если предположить, что частицы кота взаимодействуют с другими частицами независимо, то получится, что два состояния кота действительно можно увидеть. Но только выглядеть они будут полупрозрачными, как на рисунке, ведь те атомы шкуры кота, которые отразят фотоны от мёртвого кота, пропустят фотоны, упавшие на живого. Ну а что касается веса, то поскольку он является суммой веса всех частиц, то он всегда будет весом одного кота, независимо, в каком именно состоянии частицы будут «весить».
Следует также отметить, что рассматривая Букера кота как совокупность атомов, мы должны ещё будем ответить на вопрос, как именно эти атомы взаимодействуют друг с другом, если они «прыгают» между несколькими его состояниями. Вот, как подобное показано в одном сериале:
[player]8651[/player]
На отметке 5:45 показано, как примерно должно колбасить человека, находящегося в двух состояниях одновременно.
О том, насколько подобное возможно в реальности, вы можете сделать вывод, просто посчитав вероятность того, как могут хаотично перемещающиеся в пространстве десять в двадцать пятой степени атомов (примерно) образовать двух котов.
А ведь в игре есть ещё и разрывы, посредством которых герой «перемещается» из одного мира в другой. Только как он может это делать, если система частиц «Букер ДеВитт» — одна на все миры? Частицы из которых состоит главный герой/злодей по определению присутствуют во всех вариантах Вселенной, просто в каждом из них состояние этих частиц разное. Соответственно «перемещение» на самом деле никакое не перемещение, в том смысле, что даже если Ложный Пастырь покинул «свой мир», его система частиц (Букер ДеВитт) всё равно там остаётся. Как такое может быть? Ответ на этот вопрос (как и на все предыдущие) явно лежит за рамками всех существующих научных теорий.
Что если...
Но, наверно, я всё-таки слишком строг к Irrational Games. В конце-концов почти вся фантастика (даже та, которую причисляют к «твёрдой») при тщательном рассмотрении не выдерживает научной критики. С другой стороны, и теория поля — это всего лишь теория, которая к тому же может объяснить далеко не всё. Сегодня учёные стараются связать воедино все взаимодействия между материей и вывести универсальные уравнения, создав таким образом Теорию Всего. Но до этого ещё далеко, и всё что сейчас есть - это М-теория (обобщение для теории суперструн) и теория квантовой гравитации, которые являются всего лишь набросками из умозрительных постулатов. А об уравнениях, которые описывали бы физические явления без противоречий, пока и речи не идёт.
Если очень постараться, то всему можно найти научное объяснение...
Итак, попробуем придумать теорию (пусть и не имеющую отношения к науке, но по крайней мере логически непротиворечивую), которая объясняла бы происходящее в игре.
Начнём с «разрывов». Как же происходит «перемещение» через них? Можно предположить, что система частиц, которая представляет собой «перемещающийся» объект попросту распадается в том мире, откуда объект перемещается. Или, например, перестаёт взаимодействовать с окружающим миром. Был ящик с аптечками, а стал — пучок фотонов. Одновременно в том мире, куда объект «перемещается», он как бы собирается из тех частиц, которые должны были составлять его в исходном мире.
Да, к сожалению это не похоже на тот портал, который мы видим в концовке игры, но зато с механикой игры совпадает на 100%. Ведь когда Элизабет достаёт что-то из разрыва, оно появляется в «мире», где мы находимся сразу, полностью и на том же самом месте, где оно было в другом «мире».
Вы думаете, что портал машины Лютес работает так:
Но на самом деле он работает так:
Обратите внимание на скопления частиц Анны/Элизабет. Их существование является важным фактом, связанным с квантовой природой миров, — ведь частицы, составляющие, например, голову Элизабет в одном мире, обязательно должны быть в другом.
Применительно к Букеру правда подобная теория испытывает проблемы. Ведь в таком случае Комсток должен был бы полностью превратиться в Пастыря, но вместо этого частицы оказываются в двух состояниях одновременно. Хотя, кто знает, может то же самое происходит и с остальными объектами, просто мы этого не видим. То есть где-то там доски, которые должны были быть ящиком, который Элизабет достаёт из разрыва, теряют часть своей энергии, а сам ящик оказывается связан с этими досками, как Букер с Комстоком.
Самый сложный момент для объяснения — это сама возможность взаимодействовать с двумя состояниями одного объекта одновременно. Одно состояние — один мир. Такова суть «много-мировой» интерпретации квантовой механики. Причём речь идёт не только о состоянии какой-то фиксированной системы частиц, но и о состоянии всех частиц, которые с этой системой связаны (по-научному это называется квантовой запутанностью). Скажем Букер-Пастырь выходит победителем из перестрелки с врагами. Если бы он не перестрелял их всех, он был бы мёртв. Значит в любом мире, где он появляется все эти враги также должны быть мертвы, иначе должен быть мёртв Пастырь. Хотя постойте... ведь в игре это как раз и показано, когда победивший врагов в одном мире герой появляется в другом, и там враги тоже умирают. То есть умирают они, получается, не от самого факта, что Букер убил их в другой реальности, а от того, что появившись в этой, Букер-Пастырь «принёс с собой» их смерть.
Только если бы всё было по науке, то враги уже были бы мёртвыми по прибытии. А в игре они как-бы раздваиваются и состояния, в которых они должны быть в различных мирах, смешиваются.
Смешивание миров — это самое антинаучное, но в то же время и самое логичное объяснение происходящего. Ведь если предположить, что из-за какого-то побочного эффекта машины Лютес все люди вокруг (не только Элизабет) стали видеть несколько вариантов состояния мира — всё становится на свои места. И существование двойников, которые находятся в разных, но наложившихся друг на друга мирах, и смешивание воспоминаний. В начале игры Пастырь видит статую Лютес, которая является то статуей Розалинды, то Роберта — подобные «глюки» как раз и должны быть, когда человеческий мозг каким-то образом наблюдает мир, состоящий из двух реальностей.
Статуя Лютес. Розалинды и Роберта одновременно. Для разума обычного человека это уже слишком.
То есть в итоге мы получаем, что в игре есть различные миры (где Букер продал Анну, где Букер стал Комстоком, где вместо Колумбии — Рапчур). А эти миры в свою очередь сами являются суперпозицией нескольких подреальностей. Например, мир, в котором происходит первая половина игры (от начала до перехода в мир, где Чен жив) состоит из подреальности Пастыря, Комстока, Роберта Лютес, Розалинды Лютес и так далее. Причём, если состояния одного человека во всех реальностях совпадают, то в рамках мира он и является одним человеком. А если же состояния различаются, то тут уже начинаются разного рода побочные эффекты. Причём направлены они на то, чтобы сократить различия этих состояний. В частности приводятся к общему знаменателю воспоминания Комстока и Пастыря, умирают люди, которые в воспоминаниях Пастыря мертвы.
Да, я понимаю, что мои рассуждения притянуты за уши, но что поделать, если Irrational Games придумали историю о типичном классическом путешествии между параллельными мирами, а затем просто добавили слово «квантовый». Всё было бы гораздо проще конечно, если бы происходящее объяснялось магией, но тогда на сеттинг игры нельзя было бы прилепить ярлык «научная фантастика». Вот Левин и решил пригласить научного консультанта, чтобы добавить в игру явления из квантовой механики или, по крайней мере, что-то на них похожее. После чего сказал — «Господа игроки, у нас не фэнтези, а стопроцентная наука! Вот видите, какие тут у нас вещи происходят — это всё эффекты из квантовой физики.». Разумеется, поскольку подавляющее большинство игроков не знакомы с квантовой физикой, то все повелись на это заявление.
Только поймите только меня правильно — история [BioShock Infinite](/games?search=BioShock Infinite) в действительности интересна и глубока. И лично я готов простить Кену пускание пыли в глаза за один из самых нестандартных сюжетов последнего времени. Просто меня добивают возгласы вроде «Эй, смотрите! Тут в игре нереалистичный момент.» или «Ой, а вы представляете?! Разработчики перепутали научные термины!». Ну что же, поздравляю вас! Вы нашли никем не замеченную дыру... в решете под названием «научное объяснение происходящего в [BioShock Infinite](/games?search=BioShock Infinite)».
Но вернёмся к нашему натягиванию совы на глобус. Последнее что мне хотелось бы рассмотреть — это технология Лютес, которая держит Колумбию в воздухе. Да, её действие объясняется в игре (на одном из голософонов), но с научной точки зрения это объяснение — полный бред. «Атом просто не падает» — как это вообще?! То есть понятно, что по идее это означает, что атом висит в определённом положении относительно Земли. Но как это получается? Квантовая физика или не квантовая, но законы Ньютона действуют везде. Сила действия равна силе противодействия, а импульс всегда интеграл силы по времени. Если мы идём по мостовой Колумбии, мы давим на неё своей массой. А значит сообщаем ей импульс в направлении Земли. И для того, чтобы она оставалась на месте, необходима такая же сила в противоположном направлении. Откуда-то же она должна браться!
Можно предположить, например, что «частицы Лютес» отталкивает сама поверхность Земли. Ведь мы же знаем, что на самом деле волновая функция частицы (то есть область, где она взаимодействует с другими объектами) может распространяться очень далеко. Так что вполне допустимо, что «частицы Лютес» находятся одновременно в двух состояниях — внутри контейнера и вне него. И технология Лютес собственно и позволяет этим двум состояниям взаимодействовать. Когда контейнер активен, частицы, волновая функция которых может быть ненулевой на расстоянии многих километров, взаимодействуют с поверхностью Земли (или в данном случае с морским дном) и получают от него импульс, направленный вверх. А потом сообщают этот импульс самому контейнеру.
Частицы Лютес
Разумеется, ничто при таком объяснении не мешает получать импульс в любом другом направлении, так что заявления вроде «Колумбия не может передвигаться потому что частицы висят неподвижно относительно земли.» — не в кассу. Кстати, они были бы не в кассу и в любом другом случае, ведь «висеть неподвижно» можно относительно любого, в том числе движущегося объекта (Земля ведь тоже движется).
А что же за всеми дверьми?
Как видите, увязать происходящее в игре с реальной теорией квантовой физики крайне непросто. Причём это касается даже самых основ. Что уж говорить о самом сюжете с его «заумной» концовкой. Если не ограничиваться простым заимствованием терминов, а попытаться действительно взглянуть на вселенную игры с точки зрения много-мировой интерпретации, то рассуждения займут почти столько же, сколько все предыдущие.
Какие мотивы руководят Элизабет и Лютесами? Как связаны события игры с внутренним миром Букера? Какое место здесь занимает механика игры? Что осталось «за кадром» и важны ли события Clash in the Clouds для понимания замысла авторов? Обо всём этом читайте в следующем посте здесь.
Ну а вы пока можете обсуждать уже написанное и высказывать свои идеи о науке в [BioShock Infinite](/games?search=BioShock Infinite).
P.S. Благодарю Elle и vladfornа за помощь в корректировке поста.